اولین بار است که به اینجا می‌آیید؟ راهنمای سایت را بخوانید!
+1 رای
1.1k بازدید

با سلام خدمت همه دوستان،
من برای نوشتن معادلات چندخطی از دستور align استفاده میکنم. چون میخوام قابلیت
pagebreak داشته باشه. ولی مشکلی که باش دارم اینه که شماره معادله در آخر خط معادلات میخوره ولی من میخوام که در وسط خط معادلات قرار بگیره.
راهی هست؟
خیلی ممنون از پاسختان

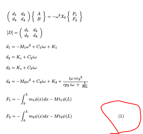
فایل(های) پیوست:
eq.PNG

1 پاسخ

0 رای
 
بهترین پاسخ

همه \nonumberها رو پاک کنین و بعدش از محیط split استفاده کنین:

\documentclass{article}
\usepackage{amsmath}
\begin{document}

\begin{align}\label{Eq}
\begin{split}
&\left( {\begin{array}{*{20}{c}}
	{{d_1}}&{{d_2}}\\
	{{d_3}}&{{d_4}}
	\end{array}} \right)\left\{ \begin{array}{l}
A\\
B
\end{array}
 \right\} =  - {\omega ^2}{X_b}\left\{ \begin{array}{l}
{F_1}\\
{F_2}
\end{array} \right\}\\[3mm]
&\left[ D \right] = \left( {\begin{array}{*{20}{c}}
	{{d_1}}&{{d_2}}\\
	{{d_3}}&{{d_4}}
	\end{array}} \right)\\[3.3mm]
&{d_1} =  - {M_1}{\omega ^2} + {C_1}i\omega  + {K_1}\\[3mm]
&{d_2} = {K_c} + {C_2}i\omega \\[3mm]
&{d_3} = {K_c} + {C_3}i\omega \\[3mm]
&{d_4} =  - {M_2}{\omega ^2} + {C_4}i\omega  + {K_2} + \frac{{i\omega \,v{c_2}^2}}{{c{p_2}\,i\omega \, + \,\frac{1}{{R{l_2}}}}}\\[3mm]
&{F_1} =  - \int_0^L {{m_1}} \phi (x){\mkern 1mu} dx - M{t_1}{\mkern 1mu} \phi (L)\\[3.3mm]
&{F_2} =  - \int_0^L {{m_2}} \psi (x)dx - M{t_2}\psi (L)
\end{split}
\end{align}

\end{document}
خیلی ممنون از کمکتون، درست شد
توسط (20 امتیاز)
پرسیدن سوال
سایت پرسش و پاسخ پارسی‌لاتک جایی برای پرسش و پاسخ درباره سیستم حروف‌چینی لاتک و بسته زی‌پرشین است. در اینجا می‌توانید سوال‌های خود را بپرسید و به سوال‌های دیگران پاسخ دهید.

7.2k پرسش

6.7k پاسخ

23.7k نظر

11.9k کاربر

basket cart icon

محصولات مرتبط با LaTeX

در فروشگاه پارسی‌لاتک


basket cart icon

حمایت مالی از پارسی‌لاتک

برای تامین هزینه‌های نگه‌داری و به‌روزرسانی

محبوب‌ترین برچسب‌ها

رفع خطا جدول xepersian مراجع ریاضی‌نویسی bidi شکل فونت فهرست مطالب شماره‌گذاری منابع پانویس tikz parsilatex بیب‌تک تک‌لایو بیمر اسلاید زی‌پرشین پاورقی سربرگ bibtex نماد رسم شکل فرمول‌نویسی هدر ارجاع‌دهی biditexmaker ویرایشگر قالب beamer واژه‌نامه texstudio اندازه فونت عنوان فصل ماتریس شماره صفحه اعمال نشدن تغییرات در پی‌دی‌اف رسم جدول bidipresentation حاشیه رنگ عنوان شکل اسلاید فارسی محیط قضیه گراف حروف‌چینی کد مکان شکل شماره فصل enumerate tabriz_thesis tikzpicture نمایه align زیرنویس شکل کادر itemize الگوریتم فهرست اشکال listings عدم اجرا نیم‌فاصله فاصله بین خطوط متن لاتین و فارسی hyperref بسته قالب پایان‌نامه فرمول نصب تک‌لایو فارسی‌تک نمودار شماره فرمول glossaries کپشن حروف‌چینی چندستونی خروجی فونت فارسی و انگلیسی ماکرونویسی extrafootnotefeatures لاتک biditools شماره پاورقی پیوست‌ سوال امتحانی فاصله‌گذاری فرمول چندضابطه‌ای tex subfigure biditufte-book header texmaker pdf خطا longtable تصویر شمارنده زیرنویس texlive2015 دیاگرام میک‌تک رسم نمودار شماره‌گذاری صفحات پایان نامه فهرست جداول تورفتگی texlive2016 شعر بولد آکولاد kashida میکروسافت ورد تنظیم جدول سوال چهارگزینه‌ای قاب texworks caption اندیس فاصله عمودی lollipop چپ‌چینی iust-thesis multicol فصل‌نویسی tcolorbox اعداد فارسی pgfplots xindy اوبونتو geometry xelatex texlive کاما fancyhdr وسط‌چینی تک لایو 2015 شماره گذاری به‌روزرسانی بسته aimc46 شکست خط صفر توخالی فرمول طولانی قالب کتاب فونت اعداد بیرون‌زدگی bidipoem عنوان بخش پوستر فاصله سطرها نوشتافت tex-programming قرآن tabriz-thesis ایتالیک winedt جستجوی معکوس فلش جایابی تصویر فهرست تصاویر پاراگراف‌بندی بازیابی اطلاعات هایپرلینک فهرست نمادها شمارنده فصل حروف‌چینی شعر font محیط ریاضی minipage رسم کادر جداکننده جدول طولانی به‌روزرسانی شماره‌گذاری فرمول algorithm2e proof equation eps جدول افقی tabular عکس متن فارسی و انگلیسی پانویس چندستونی کمک مالی فاصله خطوط فونت بولد زیرشکل پانویس پاراگرافی ltrfootnote پیوست computeautoilg فرمول چندخطی persian-bib neveshtuft غلط‌گیری املایی فونت ریاضی پیکان لاتکس قلم baselineskip شماره قسمت عنوان جدول
...