سلام
- به محل
\left
، \right
، به نقطه (.
) بعدشون و \vphantom
دقت کنین.
راه اول:
\documentclass{article}
\usepackage{amsmath}
\usepackage{xepersian}
\settextfont{Yas}
\begin{document}
\begin{align*}
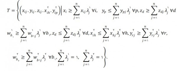
T =
& \left \{ 1 + 2 + \frac{1}{2} \right .
\\
& \quad + 3 + 4
\\
& \quad + \left . \vphantom{\frac{1}{2}} 5 + 6 \right \}
\end{align*}
\end{document}
یعنی قسمتی از فرمول که بلندقدتره را با vphantom
در سطری که میخواهید آکولادش بزرگتر بشه، میذارین.
خروجی:

راه دوم:
اون ارتفاع رو دستی بهش میدین.
مثلا با
\vphantom{\rule{0mm}{10mm}}
یا هر شي که ارتفاع داره. مثل کسر.
\documentclass{article}
\usepackage{amsmath}
\usepackage{xepersian}
\settextfont{Yas}
\begin{document}
\begin{align*}
T =
& \left \{ \vphantom{\rule{0mm}{10mm}} 1 + 2 + \frac{1}{2} \right .
\\
& \quad + 3 + 4
\\
& \quad + \left . \vphantom{\rule{0mm}{10mm}} 5 + 6 \right \}
\end{align*}
\end{document}
خروجی:

موفقتر باشین.