باسلام
الف) برطبق قوانین نباید چند سوال را در یک پرسش مطرح کنید. چرا که اگر دوست دیگری که همین مشکل شما را داشته باشد بتواند راحتتر با دیدن عنوان پرسش به پاسخ برسد.
ب) در کل شما align را دارید نادرست استفاده میکنید. در حالت کلی دستور align باید این طوری باشد:
\begin{align}
A & = B + C \\
D & = E + F
\end{align}
به عنوان مثال شما در رابطه اول یادتان رفته است \\ را بگذارید. برای این که
و
در یک خط جدا چاپ نشود باید از \text{} استفاده کنید. مثلا:
\documentclass{article}
\usepackage{amssymb,amsmath}
\usepackage{xepersian}
\settextfont{XB Niloofar}
\begin{document}
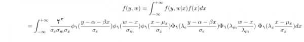
میانگین، واریانس، چولگی و کشیدگی توزیع چولهنرمال به ترتیب به صورت:
\begin{align*}
E[Z]&=\mu + \sqrt{\frac{2}{\pi}}\frac{\lambda}{\sqrt{1+\lambda^2}}\sigma
\quad \quad \text{و}
\\
Var[Z]&=(1-\frac{2\lambda^2}{\pi(1+\lambda^2)})\sigma^2
\quad \quad \text{و}
\\
\gamma &=\frac{1}{2}(4-\pi)(\frac{E^2[X]}{\mathrm{var}[\frac{(Z-\mu)}{\sigma}]})^{3/2}
\quad \quad \text{و}
\\
K &=2(\pi-3)(\frac{E^2[\frac{(Z-\mu)}{\sigma}]}{\mathrm{var}[\frac{(Z-\mu)}{\sigma}]})^2
\end{align*}
\end{document}
خروجی:

دقت کنید که اون دستور \quad برای قرار دادن فاصله بین
و
و فرمول قرار داده شده است.
ج) شما یک دستور به نام \var در فرمول استفاده کرده اید ولی آن را تعریف نکردید. برای نوشتن پراش خیلی ساده میتوانید بنویسید:
\mathrm{var}
د) شما یکی دیگر از قوانین را نیز رعایت نکردید و آن این است که مثال شما کمینه نبود. خیلی بستههای اضافی وارد شده بودند. مثلا به نظرم غیر از چند خط بقیه خط هایی که در کد آورده اید غیرضروری بود.