به دلیل قطعی اینترنت و نبود دسترسی به ایمیل‌های خارجی، می‌توانید بدون نیاز به تایید ایمیل، ثبت‌نام کنید و پرسش‌های خود را بپرسید.

اولین بار است که به اینجا می‌آیید؟ راهنمای سایت را بخوانید!
0 رای
5.3k بازدید

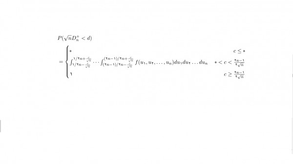
با سلام
برای اینکه انتگرالی که با کد زیر نوشتم شبیه اونی که پیوست کردم بشه چکار باید بکنم؟ تووی کدی که نوشتم کران انتگرال خارج انتگرال قرار گرفته و انتگرال هم ارتفاعش خیلی کمه.

\begingroup\makeatletter\def\f@size{11}\check@mathfonts‎
\begin{align*}
&P(\sqrt{n} D_n^ + ‎<‎ d)\\
& = 
\begin{cases}
‎\LR {$‎‎0‎$‎} &‎\hspace{-2cm}‎ c \le 0\\
\int‎_{1/2n-‎\frac{c}{‎\sqrt{n}‎}‎}‎^{1/2n+‎\frac{c}{\sqrt{n}}‎}‎‎ \cdots \int_{(2n - 1)/2n - ‎\frac{c}{‎\sqrt{‎n‎}‎}‎}^{(2n - 1)/2n+‎\frac{c}{\sqrt{n}}}  f(u_1, u_2, \ldots, u_n) d u_1du_2 \ldots du_n &‎\hspace*{0.1cm}‎ 0 < c< ‎\frac{2n-1}{2‎\sqrt{n}‎}‎\\
\LR {‎$‎1‎$‎} &\hspace*{0.1cm} c \ge \frac{2n-1}{2‎\sqrt{n}‎}‎
\end{cases}
\end{align*}
‎\endgroup

فایل(های) پیوست:
انتگرال.png
انتگرال1.png
انتگرال2.png
چیزی پیوست نکردین.
توسط (7.7k امتیاز)
سلام، پیوست شد.
توسط (23 امتیاز)
اگه به جای کد فایل قابل اجرا میفرستادین بهتر بود. اینجوری من مجبور نمیشم یک فایل جدا برای شما برم بسازم.
کد شما را توی فایل قابل اجرا بردم و اجرا گرفتم.
اندازه انتگرال مثل عکسی هست که فرستادین.
یک hspace منفی هم زدین که نمی‌دونم کاربردش دقیقا چیه.
اینکه گفتین «کران انتگرال خارج انتگرال قرار گرفته» یعنی چی؟
توسط (7.7k امتیاز)
متاسفانه نتونستم ارسالش کنم. پی دی اف فایل خودم رو پیوست کردم انتگرال اولی زیباتر از فایل پیوست انتگرال1 هست. \hspace{-2cm}رو قرار دادم که c سطر اول  یه مقداری به سمت چپ بیاد و تراز بشه باc های سطرهای دیگه که میسر نشد. ممنونم از شما
توسط (23 امتیاز)
پی دی‌افی ارسال نکردین.
فاصله منفی روش خوبی نیست. البته کد شما خطا داره و در سیستم من همه فرمول‌ها توی یک خط میان. یک فایل نمونه خیلی کوچک نشاندهنده مشکل بفرستین تا هم برای این سوال مفید بشه و هم مشکل تراز نبودن را هم جواب بدم. البته در پرسشی جدا. چون ربطی به این پرسش نداره.
توسط (7.7k امتیاز)
ممنونم. پی دی اف ارسال شد.
توسط (23 امتیاز)

1 پاسخ

+1 رای
 
بهترین پاسخ

کد شما چند تا مشکل دارد.
اول استفاده از $$ در محیط ریاضی است که موجب خطا شده
دوم وجود کاراکترهای کنترلی مخفی اضافی در قبل از _ و ^ در انتگرال اول است که موجب شده توان به عنوان ادامه شناخته شود نه کران انتگرال.

تصحیح شده‌ی کد شما به صورت زیر خواهد بود:

\documentclass{report}
\usepackage{amsthm,amssymb,amsmath}
\usepackage{xepersian}
\settextfont[Scale=1]{XB Yas}
\setdigitfont{XB Yas}
\begin{document}
\begingroup\makeatletter\def\f@size{11}\check@mathfonts‎
\begin{align*}
&P(\sqrt{n} D_n^ + ‎<‎ d)\\
& = 
\begin{cases}
‎0‎ &‎ c \le 0\\
\displaystyle\int_{1/2n-‎\frac{c}{‎\sqrt{n}‎}‎}^{1/2n+‎\frac{c}{\sqrt{n}}‎}‎‎ \cdots \displaystyle\int_{(2n - 1)/2n - ‎\frac{c}{‎\sqrt{‎n‎}‎}‎}^{(2n - 1)/2n+‎\frac{c}{\sqrt{n}}}  f(u_1, u_2, \ldots, u_n) d u_1du_2 \ldots du_n &‎ 0 < c< ‎\frac{2n-1}{2‎\sqrt{n}‎}‎\\
‎1‎ & c \ge \frac{2n-1}{2‎\sqrt{n}‎}‎
\end{cases}
\end{align*}
‎\endgroup

\end{document}

و نتیجه آن شکل زیر است:

enter image description here

معادلۀ مورد نظر در محیط array می‌تواند به صورت زیر نوشته شود:

\documentclass{report}
\usepackage{amsthm,amssymb,amsmath,array}
\usepackage{xepersian}
\settextfont[Scale=1]{XB Yas}
\setdigitfont{XB Yas}
\begin{document}
\begin{align*}
&P(\sqrt{n} D_n^+< d)\\
& =
\left\{
\begin{array}{*{20}{ll}}  % first column is centered
  ‎0‎ &‎ c \le 0\\
\displaystyle\int_{1/2n-‎\frac{c}{‎\sqrt{n}‎}‎}^{1/2n+‎\frac{c}{\sqrt{n}}‎}‎‎ \cdots \displaystyle\int_{(2n - 1)/2n - ‎\frac{c}{‎\sqrt{‎n‎}‎}‎}^{(2n - 1)/2n+‎\frac{c}{\sqrt{n}}}  f(u_1, u_2, \ldots, u_n) d u_1du_2 \ldots du_n &‎ 0 < c< ‎\frac{2n-1}{2‎\sqrt{n}‎}‎\\
1‎ & c \ge \frac{2n-1}{2‎\sqrt{n}‎}‎                                          
 \end{array}\right.
\end{align*}
\begin{align*}
&P(\sqrt{n} D_n^+< d)\\
& =
\left\{
\begin{array}{*{20}{cl}}  % first column is centered
  ‎0‎ &‎ c \le 0\\
\displaystyle\int_{1/2n-‎\frac{c}{‎\sqrt{n}‎}‎}^{1/2n+‎\frac{c}{\sqrt{n}}‎}‎‎ \cdots \displaystyle\int_{(2n - 1)/2n - ‎\frac{c}{‎\sqrt{‎n‎}‎}‎}^{(2n - 1)/2n+‎\frac{c}{\sqrt{n}}}  f(u_1, u_2, \ldots, u_n) d u_1du_2 \ldots du_n &‎ 0 < c< ‎\frac{2n-1}{2‎\sqrt{n}‎}‎\\
1‎ & c \ge \frac{2n-1}{2‎\sqrt{n}‎}‎                                          
 \end{array}\right.
\end{align*}
\end{document}

نتیجه این کد در حالی که ستون اول وسط چین و چپ چین است به صورت زیر خواهد بود:

enter image description here

توضیحات:

برای بزرگتر نوشتن علامت انتگرال هم می توان از دستور \displaystyle یا از بستۀ scalerel به صورت زیر استفاده کرد.

\documentclass{report}
\usepackage{amsthm,amssymb,amsmath}
\usepackage{scalerel}
\usepackage{xepersian}
\settextfont[Scale=1]{XB Yas}
\setdigitfont{XB Yas}
\def\scaleint#1{\vcenter{\hbox{\scaleto[3ex]{\displaystyle\int}{#1}}}}
\begin{document}
\begin{align}\nonumber
\int_{a}^{b}{\frac{a}{c}dP}\ \ \
\ \ \displaystyle \int_{a}^{b}{\frac{a}{c}dP}
\ \ \ \scaleint{10ex}_{a}^{b}{\frac{a}{c}dP}
\ \  \ \scaleint{15ex}_{a}^{b}{\frac{a}{c}dP}
\end{align}
\end{document}

نتایج به دست آمده در شکل زیر نشان داده شده است.

enter image description here

لازم می دانم در اینجا ذکر کنم که کد کمینه قابل اجرا کدی مانند کدموجود در پاسخ است که فاقد دستورهای اضافی است و منظور را به طور کامل بیان می کند.

لطفا در سوال های بعدی این موضوع را رعایت فرمایید.
توسط (1.6k امتیاز)
ممنونم. ولی همان طور که در پیوست انتگرال2 مشاهده می کنید 0 و 1 چپ چین نیستند برای این مشکل چکار کنم؟
توسط (23 امتیاز)
این مشکل در کدی که ضمیمه کردم وجود ندارد، کد شما کاراکترهای مخفی زیادی دارد یک بار همین کد را امتحان کنید و ببینید که آیا این مشکل هنوز وجود دارد؟
توسط (1.6k امتیاز)
متشکرم از شما. با کد شما اجراش همونی هست که در پیوست انتگرال2 قرار دادم. کلا با این کد 0 و 1 چپ چین نمیشن با sample که دانشگاه داده.
توسط (23 امتیاز)
محیط casse در حالت کلی چپ چین است. چنانکه مشاهده می کنید فایل شما کمینه نیست و مشکل شما را دقیق نشان نمی دهد.
پیشنهاد می کنم از محیط array استفاده کنید. در این محیط چینش هر ستون قابل تنظیم است.
توسط (1.6k امتیاز)
من مشکلم در قرار دادن قسمت قبل از مساوی بود همانطور که در پیوست انتگرال 3 براتون قرار دادم. با محیط array نتونستم جواب بگیرم و به ناچار از این کد استفاده کردم متاسفانه تووی این کد 0 و 1 چپ چین نمیشن برای رفع این مشکلم از \lr{}استفاده کردم که انتگرالم به صورتی شد که در پیوست انتگرال قرار دادم و نمیدونم چطوری درستش کنم. بازم ممنونم از شما
توسط (23 امتیاز)
اگر شما از یک تمپلت خاص استفاده می کنید باید کل مجموعه را در مثال کمینه قرار دهید. در اصل فلسفه مثال کمینه همین است که مشکل شما را نمایش دهد در صورتی که کد صورت سوال مشکل شما را نمایش نمی دهد.

پیشنهاد می کنم کد سوال را اصلاح کنید.
کدی را که نمایانگر مشکل شما باشد به صورت سوال اضافه کنید تا بتوان آن را اصلاح کرد. در واقع بنده یا سایر دوستان با اجرای کد شما باید همان جوابی را دریافت کنیم که شما دریافت کرده اید. پس شما یکبار باید خود آن را اجرا کنید و از اجرا شدن و نمایش مشکل مطمئن شوید و علاوه بر این دربر دارنده مطالب و دستورات اضافی هم نباشد، سپس آن را در صورت سوال ضمیمه کنید.
توسط (1.6k امتیاز)
پاسخ سوال در محیط array نیز به پاسخ اضافه شد. چنانچه مشاهده می‌کنید در این محیط نیز مشکل خاصی وجود ندارد. امید است مورد استفاده قرار گیرد.
توسط (1.6k امتیاز)
پرسیدن سوال
سایت پرسش و پاسخ پارسی‌لاتک جایی برای پرسش و پاسخ درباره سیستم حروف‌چینی لاتک و بسته زی‌پرشین است. در اینجا می‌توانید سوال‌های خود را بپرسید و به سوال‌های دیگران پاسخ دهید.

7.2k پرسش

6.6k پاسخ

23.7k نظر

11.7k کاربر

basket cart icon

محصولات مرتبط با LaTeX

در فروشگاه پارسی‌لاتک


basket cart icon

حمایت مالی از پارسی‌لاتک

برای تامین هزینه‌های نگه‌داری و به‌روزرسانی

محبوب‌ترین برچسب‌ها

رفع خطا جدول xepersian مراجع ریاضی‌نویسی bidi شکل فونت فهرست مطالب شماره‌گذاری منابع پانویس tikz parsilatex بیب‌تک تک‌لایو بیمر اسلاید زی‌پرشین پاورقی سربرگ bibtex نماد رسم شکل فرمول‌نویسی هدر ارجاع‌دهی biditexmaker ویرایشگر قالب beamer واژه‌نامه texstudio اندازه فونت عنوان فصل ماتریس شماره صفحه اعمال نشدن تغییرات در پی‌دی‌اف رسم جدول bidipresentation حاشیه رنگ عنوان شکل اسلاید فارسی محیط قضیه گراف حروف‌چینی کد مکان شکل شماره فصل enumerate tabriz_thesis tikzpicture نمایه align زیرنویس شکل کادر itemize الگوریتم فهرست اشکال listings عدم اجرا نیم‌فاصله فاصله بین خطوط متن لاتین و فارسی hyperref بسته قالب پایان‌نامه فرمول نصب تک‌لایو فارسی‌تک نمودار شماره فرمول glossaries کپشن حروف‌چینی چندستونی خروجی فونت فارسی و انگلیسی ماکرونویسی extrafootnotefeatures لاتک biditools شماره پاورقی پیوست‌ سوال امتحانی فاصله‌گذاری فرمول چندضابطه‌ای tex subfigure biditufte-book header texmaker pdf خطا longtable تصویر شمارنده زیرنویس texlive2015 دیاگرام میک‌تک رسم نمودار شماره‌گذاری صفحات پایان نامه فهرست جداول تورفتگی texlive2016 شعر بولد آکولاد kashida میکروسافت ورد تنظیم جدول سوال چهارگزینه‌ای قاب texworks caption اندیس فاصله عمودی lollipop چپ‌چینی iust-thesis multicol فصل‌نویسی tcolorbox اعداد فارسی pgfplots xindy اوبونتو geometry xelatex texlive کاما fancyhdr وسط‌چینی تک لایو 2015 شماره گذاری به‌روزرسانی بسته aimc46 شکست خط صفر توخالی فرمول طولانی قالب کتاب فونت اعداد بیرون‌زدگی bidipoem عنوان بخش پوستر فاصله سطرها نوشتافت tex-programming قرآن tabriz-thesis ایتالیک winedt جستجوی معکوس فلش جایابی تصویر فهرست تصاویر پاراگراف‌بندی بازیابی اطلاعات هایپرلینک فهرست نمادها شمارنده فصل حروف‌چینی شعر font محیط ریاضی minipage رسم کادر جداکننده جدول طولانی به‌روزرسانی شماره‌گذاری فرمول algorithm2e proof equation eps جدول افقی tabular عکس متن فارسی و انگلیسی پانویس چندستونی کمک مالی فاصله خطوط فونت بولد زیرشکل پانویس پاراگرافی ltrfootnote پیوست computeautoilg فرمول چندخطی persian-bib neveshtuft غلط‌گیری املایی فونت ریاضی پیکان لاتکس قلم baselineskip شماره قسمت عنوان جدول
...