کد شما چند تا مشکل دارد.
اول استفاده از $$ در محیط ریاضی است که موجب خطا شده 
دوم وجود کاراکترهای کنترلی مخفی اضافی در قبل از _ و ^ در انتگرال اول است که موجب شده توان به عنوان ادامه شناخته شود نه کران انتگرال.
تصحیح شدهی کد شما به صورت زیر خواهد بود:
\documentclass{report}
\usepackage{amsthm,amssymb,amsmath}
\usepackage{xepersian}
\settextfont[Scale=1]{XB Yas}
\setdigitfont{XB Yas}
\begin{document}
\begingroup\makeatletter\def\f@size{11}\check@mathfonts
\begin{align*}
&P(\sqrt{n} D_n^ + < d)\\
& = 
\begin{cases}
0 & c \le 0\\
\displaystyle\int_{1/2n-\frac{c}{\sqrt{n}}}^{1/2n+\frac{c}{\sqrt{n}}} \cdots \displaystyle\int_{(2n - 1)/2n - \frac{c}{\sqrt{n}}}^{(2n - 1)/2n+\frac{c}{\sqrt{n}}}  f(u_1, u_2, \ldots, u_n) d u_1du_2 \ldots du_n & 0 < c< \frac{2n-1}{2\sqrt{n}}\\
1 & c \ge \frac{2n-1}{2\sqrt{n}}
\end{cases}
\end{align*}
\endgroup
\end{document}
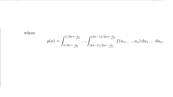
و نتیجه آن شکل زیر است:

معادلۀ مورد نظر در محیط array میتواند به صورت زیر نوشته شود:
\documentclass{report}
\usepackage{amsthm,amssymb,amsmath,array}
\usepackage{xepersian}
\settextfont[Scale=1]{XB Yas}
\setdigitfont{XB Yas}
\begin{document}
\begin{align*}
&P(\sqrt{n} D_n^+< d)\\
& =
\left\{
\begin{array}{*{20}{ll}}  % first column is centered
  0 & c \le 0\\
\displaystyle\int_{1/2n-\frac{c}{\sqrt{n}}}^{1/2n+\frac{c}{\sqrt{n}}} \cdots \displaystyle\int_{(2n - 1)/2n - \frac{c}{\sqrt{n}}}^{(2n - 1)/2n+\frac{c}{\sqrt{n}}}  f(u_1, u_2, \ldots, u_n) d u_1du_2 \ldots du_n & 0 < c< \frac{2n-1}{2\sqrt{n}}\\
1 & c \ge \frac{2n-1}{2\sqrt{n}}                                          
 \end{array}\right.
\end{align*}
\begin{align*}
&P(\sqrt{n} D_n^+< d)\\
& =
\left\{
\begin{array}{*{20}{cl}}  % first column is centered
  0 & c \le 0\\
\displaystyle\int_{1/2n-\frac{c}{\sqrt{n}}}^{1/2n+\frac{c}{\sqrt{n}}} \cdots \displaystyle\int_{(2n - 1)/2n - \frac{c}{\sqrt{n}}}^{(2n - 1)/2n+\frac{c}{\sqrt{n}}}  f(u_1, u_2, \ldots, u_n) d u_1du_2 \ldots du_n & 0 < c< \frac{2n-1}{2\sqrt{n}}\\
1 & c \ge \frac{2n-1}{2\sqrt{n}}                                          
 \end{array}\right.
\end{align*}
\end{document}
نتیجه این کد در حالی که ستون اول وسط چین و چپ چین است به صورت زیر خواهد بود:

توضیحات:
برای بزرگتر نوشتن علامت انتگرال هم می توان از دستور \displaystyle یا از بستۀ scalerel به صورت زیر استفاده کرد.
\documentclass{report}
\usepackage{amsthm,amssymb,amsmath}
\usepackage{scalerel}
\usepackage{xepersian}
\settextfont[Scale=1]{XB Yas}
\setdigitfont{XB Yas}
\def\scaleint#1{\vcenter{\hbox{\scaleto[3ex]{\displaystyle\int}{#1}}}}
\begin{document}
\begin{align}\nonumber
\int_{a}^{b}{\frac{a}{c}dP}\ \ \
\ \ \displaystyle \int_{a}^{b}{\frac{a}{c}dP}
\ \ \ \scaleint{10ex}_{a}^{b}{\frac{a}{c}dP}
\ \  \ \scaleint{15ex}_{a}^{b}{\frac{a}{c}dP}
\end{align}
\end{document}
نتایج به دست آمده در شکل زیر نشان داده شده است.
