برای فاصله افقی میتوانید از \quad و خانواده آن استفاده کنید.
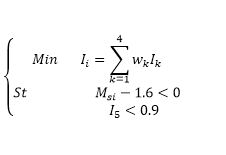
روشی که برای نوشتن این ضابطه به کار بردهاید استفاده از array است که کد نوشته شده ناقص بود.
\documentclass[12pt,twoside]{article}
\begin{document}
\begin{equation}
\left\lbrace
\begin{array}{lcc}
Min && I_{j}=\sum\limits_{k=1}^{4} \omega_{k}{I}_{k}\\[3ex]
St && {M}_{s}-1.6\leq 0 \\
&& {j}_{5}\leq0.9 \\
\end{array}\right.
\end{equation}
\end{document}
نتیجه:

اگر فاصله افقی بیشتری میخواهید میتوانید قبل از I_{j} یک \quad یا \qquad بنویسید. (همینطور برای سطرهای بعدی)
برای افزایش فاصله عمودی مقدار [3ex] را تغییر دهید.
نکته: میتوانستید از محیط cases هم استفاده کنید.