سلام
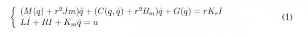
دستوراتی مشابه q\dot در فرمول دارید که اشتباه تایپ شدهاند. صحیح این دستورات به صورت زیر هست:
\dot{}
\ddot{}
\dddot{}
\ddddot{}
در واقع آرگومان آنها باید درون آکولاد و بعد از آنها نوشته شود.
دستورات شما مشابه زیر است:
\begin{equation}
\begin{cases}
\left(M(q) + r^{2} \times J_{m} \right)\ddot{q} + \Bigg(C \bigg(q,\dot{q}\bigg)+ r^{2} \times B_{m} \Bigg)q + G(q) = r \times K_{r}I
\\
L\dot I + R I + K_{m}\dot{q} = u
\end{cases}
\label{eq.1}
\end{equation}
و خروجی شما با نسخههای اولیهی تکلایو 2018 به صورت زیر است:

موفق باشید.