اولین بار است که به اینجا می‌آیید؟ راهنمای سایت را بخوانید!
+1 رای
899 بازدید

سلام من فرمولی رو تایپ کردم اما در اجرای آن مشکل دارم فرمول رو چک کردم مشکلی پیدا نکردم

تصویر فرمول و فایل کمینه پیوست شد
با تشکر

فایل(های) پیوست:
1.PNG

1 پاسخ

+3 رای
 
بهترین پاسخ

سلام


دستوراتی مشابه q\dot در فرمول دارید که اشتباه تایپ شده‌اند. صحیح این دستورات به صورت زیر هست:

\dot{}
\ddot{}
\dddot{}
\ddddot{}

در واقع آرگومان آنها باید درون آکولاد و بعد از آنها نوشته شود.

دستورات شما مشابه زیر است:


\begin{equation}
\begin{cases}
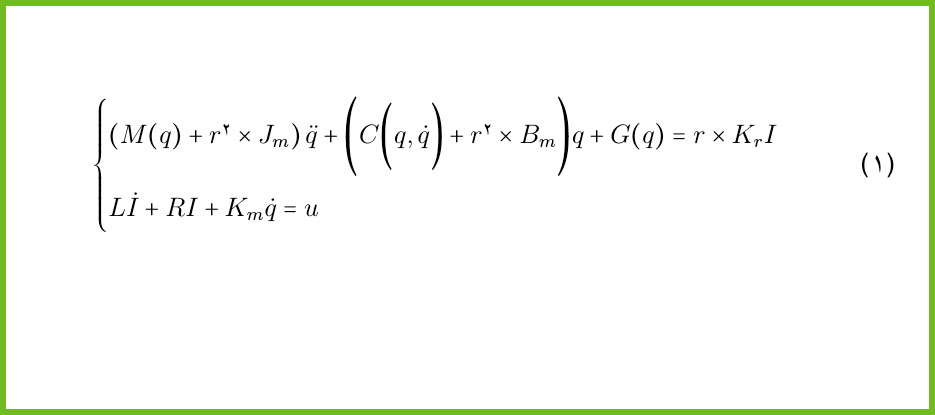
\left(M(q) + r^{2} \times J_{m} \right)\ddot{q} + \Bigg(C \bigg(q,\dot{q}\bigg)+ r^{2} \times B_{m} \Bigg)q + G(q) = r \times K_{r}I
\\
L\dot I  + R I + K_{m}\dot{q}  = u
\end{cases}
\label{eq.1}
\end{equation}

و خروجی شما با نسخه‌های اولیه‌ی تکلایو 2018 به صورت زیر است:


enter image description here


موفق باشید.

بسیار سپاسگزارم استاد
اگر در زی پرشین بخواهم اعداد فرمول ها لاتین باشد باید چه کار کنم؟
توسط (93 امتیاز)
این پست را ببینید.
http://qa.parsilatex.com/27120
البته بنده کجا و استادی کجا
موفق باشید.
توسط (8.7k امتیاز)
بسیار ممنون این مشکل هم حل شد
توسط (93 امتیاز)
پرسیدن سوال
سایت پرسش و پاسخ پارسی‌لاتک جایی برای پرسش و پاسخ درباره سیستم حروف‌چینی لاتک و بسته زی‌پرشین است. در اینجا می‌توانید سوال‌های خود را بپرسید و به سوال‌های دیگران پاسخ دهید.

7.2k پرسش

6.6k پاسخ

23.6k نظر

11.2k کاربر

basket cart icon

محصولات مرتبط با LaTeX

در فروشگاه پارسی‌لاتک


basket cart icon

حمایت مالی از پارسی‌لاتک

برای تامین هزینه‌های نگه‌داری و به‌روزرسانی

محبوب‌ترین برچسب‌ها

رفع خطا جدول xepersian مراجع ریاضی‌نویسی bidi شکل فونت فهرست مطالب شماره‌گذاری منابع پانویس parsilatex بیب‌تک tikz تک‌لایو بیمر اسلاید زی‌پرشین پاورقی bibtex سربرگ نماد رسم شکل فرمول‌نویسی هدر ارجاع‌دهی biditexmaker ویرایشگر قالب beamer واژه‌نامه اندازه فونت texstudio عنوان فصل ماتریس اعمال نشدن تغییرات در پی‌دی‌اف رسم جدول شماره صفحه bidipresentation حاشیه رنگ عنوان شکل اسلاید فارسی محیط قضیه گراف مکان شکل tikzpicture enumerate حروف‌چینی کد شماره فصل tabriz_thesis نمایه align زیرنویس شکل کادر itemize فهرست اشکال الگوریتم عدم اجرا listings نیم‌فاصله متن لاتین و فارسی بسته فاصله بین خطوط hyperref قالب پایان‌نامه فرمول نصب تک‌لایو فارسی‌تک نمودار شماره فرمول glossaries کپشن خروجی لاتک حروف‌چینی چندستونی فونت فارسی و انگلیسی ماکرونویسی extrafootnotefeatures biditools شماره پاورقی پیوست‌ سوال امتحانی فاصله‌گذاری فرمول چندضابطه‌ای tex subfigure biditufte-book header texmaker pdf خطا longtable تصویر شمارنده زیرنویس texlive2015 دیاگرام رسم نمودار شماره‌گذاری صفحات پایان نامه فهرست جداول میک‌تک texlive2016 شعر تنظیم جدول بولد آکولاد kashida تورفتگی texworks caption اندیس اعداد فارسی lollipop iust-thesis multicol فصل‌نویسی سوال چهارگزینه‌ای فاصله عمودی pgfplots xindy چپ‌چینی اوبونتو میکروسافت ورد قاب geometry xelatex texlive کاما fancyhdr وسط‌چینی تک لایو 2015 tcolorbox عنوان بخش شماره گذاری به‌روزرسانی بسته aimc46 صفر توخالی فرمول طولانی بیرون‌زدگی پوستر فاصله سطرها نوشتافت شکست خط tex-programming فونت اعداد قرآن tabriz-thesis ایتالیک winedt جستجوی معکوس فلش جایابی تصویر فهرست تصاویر قالب کتاب پاراگراف‌بندی بازیابی اطلاعات هایپرلینک فهرست نمادها شمارنده فصل font محیط ریاضی رسم کادر bidipoem جداکننده جدول طولانی به‌روزرسانی شماره‌گذاری فرمول algorithm2e proof equation eps جدول افقی tabular عکس متن فارسی و انگلیسی پانویس چندستونی کمک مالی فاصله خطوط حروف‌چینی شعر فونت بولد زیرشکل minipage قلم پانویس پاراگرافی ltrfootnote پیوست computeautoilg فرمول چندخطی neveshtuft غلط‌گیری املایی فونت ریاضی تک‌پارسی پیکان لاتکس baselineskip شماره قسمت قسمت
...