سلام
بصورت زیر:
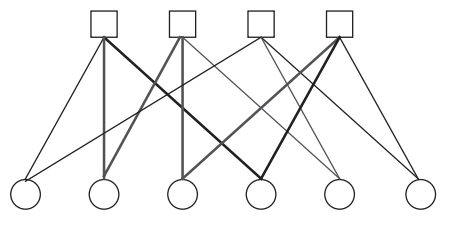
\documentclass[a4paper,12pt]{report}
\usepackage{tikz}
\tikzstyle{vertex}=[circle, draw, inner sep=0pt, minimum size=8pt]
\newcommand{\vertex}{\node[vertex]}
\tikzstyle{vertexs}=[draw,minimum width=.2cm,minimum height=.2cm]
\newcommand{\vertexs}{\node[vertexs]}
\begin{document}
\[
\begin{tikzpicture}
\vertexs (a1) at (0,0) []{};
\vertexs (a2) at (1,0) []{};
\vertexs (a3) at (2,0) []{};
\vertexs (a4) at (3,0) []{};
\vertex (b1) at (-1,-1.5) []{};
\vertex (b2) at (0,-1.5) []{};
\vertex (b3) at (1,-1.5) []{};
\vertex (b4) at (2,-1.5) []{};
\vertex (b5) at (3,-1.5) []{};
\vertex (b6) at (4,-1.5) []{};
\path
(a1) edge (b1)
(a1) edge (b2)
(a1) edge (b4)
(a2) edge (b2)
(a2) edge (b3)
(a2) edge (b5)
(a3) edge (b1)
(a3) edge (b5)
(a3) edge (b6)
(a4) edge (b3)
(a4) edge (b4)
(a4) edge (b6);
\end{tikzpicture}
\]
\end{document}
خروجی:

توضیح:
برای رسم دایره از دستور:
\tikzstyle{vertex}=[circle, draw, inner sep=0pt, minimum size=8pt]
\newcommand{\vertex}{\node[vertex]}
که در آن می توانید اندازه دایره را با تغییر مقدار minimum size=8pt
به مقدار دلخواه و مناسب تغییر دهید و برای درج دایره دستور \vertex
تعریف کردم.
برای رسم مربع از دستور:
\tikzstyle{vertexs}=[draw,minimum width=.2cm,minimum height=.2cm]
\newcommand{\vertexs}{\node[vertexs]}
که در آن میتونی اندازه طول رو به مقدار دلخواه تغییر دهید و برای درج مربع دستور \vertexs
تعریف کردم.
برای رسم یال ها از \path
و edge
استفاده کردم.
ویرایش:
کد زیر رو در نظر بگیر:
\documentclass[a4paper,12pt]{report}
\usepackage{tikz}
\tikzstyle{vertex}=[circle, draw, inner sep=0pt, minimum size=8pt]
\newcommand{\vertex}{\node[vertex]}
\tikzstyle{vertexs}=[draw,minimum width=.2cm,minimum height=.2cm]
\newcommand{\vertexs}{\node[vertexs]}
\begin{document}
\[
\begin{tikzpicture}
\vertexs [fill](a1) at (0,0)[label=above:$a_{1}$]{};
\vertexs [fill](a2) at (1,0) [label=above:$a_{2}$]{};
\vertex [fill](b1) at (-1,-1.5) [label=below:$b_{1}$]{};
\vertex [fill](b2) at (0,-1.5) [label=below:$b_{2}$]{};
\path
(a1) edge (b1)
(a1) edge (b2)
(a2) edge (b1)
(a2) edge (b2);
\end{tikzpicture}
\]
\end{document}
توضیح:
برای درج مربع سیاه و قرار دادن لیبل از دستور زیر:
\vertexs [fill](a1) at (0,0)[label=above:$a_{1}$]{};
که دستور فوق در مختصات (0,0) مربع سیاه (fill
) و لیبل بالای آن a_1 قرار میدهد.
اگر لیبل رو در پایین (label=below
) و چپ (label=left
) و راست (label=right
) بنویس.
خروجی:

موفق باشید.