سلام
یک راه میتونه به صورت زیر باشه:
بهجای استفاده از محیط itemize، میتونید از محیط alignat استفاده کنید:
\begin{LTR}
\begin{alignat*}{3}
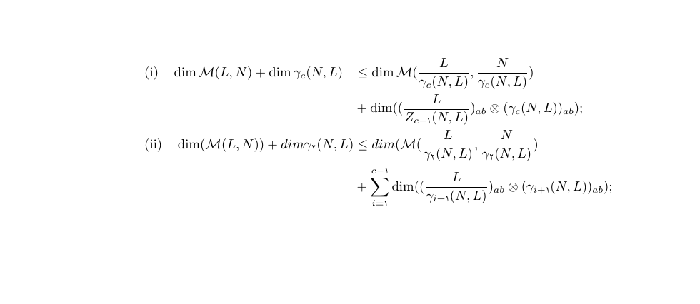
&{\rm(i)} \quad \dim{\cal M}(L, N)+\dim\gamma_{c}(N, L) && \leq \dim{\cal M}(\frac{L}{\gamma_{c}(N, L)}, \frac{N}{\gamma_{c}(N, L)})\\
& && +\dim((\dfrac{L}{Z_{c-1}(N, L)})_{ab}\otimes (\gamma_c(N, L))_{ab});\\
&{\rm(ii)}\quad \dim({\cal M}(L, N))+dim\gamma_2(N, L) && \leq dim({\cal M}(\frac{L}{\gamma_2(N, L)},\frac{N}{\gamma_2(N, L)})\\
& && +\displaystyle\sum_{i=1}^{c-1}\dim((\frac{L}{\gamma_{i+1}(N, L)})_{ab}\otimes (\gamma_{i+1}(N, L))_{ab});
\end{alignat*}
\end{LTR}
خروجی:
