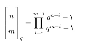
این سه روش رو امتحان بکنید:
\documentclass{article}
\usepackage{amsmath}
\usepackage{xepersian}
\settextfont{Yas}
\def\choose{\atopwithdelims[]}
\begin{document}
\[
\begin{bmatrix}
n \\
m
\end{bmatrix}_q
\]
\[
\left[\displaystyle {}^n_m\right]_q
\]
\[
{n\choose m}_q
\]
${n\choose m}_q$
\end{document}
تفاوت استفاده از محیط bmatrix
و دستور choose
رو در زیر میتونید ببینید:
