سلام
اولاً که در \begin{array}{c} \mathfrak{U} \end{array} نیازی به begin و end نیست. یک دلار و بودن در محیط ریاضی کافیه.
چیزی که شما میخایین، اگه اندیس هست، به صورت:
$X_{\mathfrak{U}}$
خروجی:

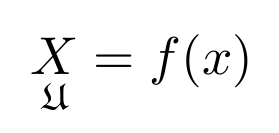
اگه میخایین اندیس دقیقا زیر X باشه، به این صورت:
$\mathop{X}\limits_{\mathfrak{U}}$

یا:
$\underset{\mathfrak{U}}{X}=f(x)$
