سلام
برای فرمول مجزا:
\documentclass[10pt]{article}
\usepackage[fleqn]{amsmath}
\setlength{\mathindent}{0pt}
\usepackage{amsfonts, amssymb}
\usepackage{setspace}
\usepackage{xepersian}
\settextfont{XB Zar}
\setmathdigitfont{XB Zar}
\begin{document}
\setstretch{1.7}
\begin{align*}
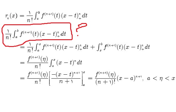
& R_{n}(x) =\frac{1}{n!} \int_{a}^{b} f^{n+1} (t)(x-t)_{+}^ndt \\
& \frac{1}{n!} \int_a^b f^{(n+1)}(t) (x-t)^n_+ dt \\
& \qquad
\begin{aligned}
&= \frac{1}{n!} \int_{a}^{x} f^{n+1} (t)(x-t)_{+}^ndt + \int_{x}^{b} f^{n+1} (t)(x-t)_{+}^ndt \\
&= \dfrac{f^{n+1}(\eta)}{n!} \int_{a}^{x}(x-t)^n dt \\
&= \dfrac{f^{n+1}(\eta)}{n!} \Big[\dfrac{-(x-t)^{n+1}}{n+1} \Big]_{a}^x = \dfrac{f^{n+1}(\eta)}{(n+1)!} (x-a)^{n+1} , a<\eta <x
\end{aligned}
\end{align*}
\end{document}
خروجی:

برای متن مجزا وسط فرمول:
\documentclass[10pt]{article}
\usepackage[fleqn]{amsmath}
\setlength{\mathindent}{0pt}
\usepackage{amsfonts, amssymb}
\usepackage{setspace}
\usepackage{xepersian}
\settextfont{XB Zar}
\setmathdigitfont{XB Zar}
\begin{document}
\setstretch{1.7}
\begin{align*}
R_{n}(x) & =\frac{1}{n!} \int_{a}^{b} f^{n+1} (t)(x-t)_{+}^ndt \\
\intertext{سپس داریم:}
&= \frac{1}{n!} \int_{a}^{x} f^{n+1} (t)(x-t)_{+}^ndt + \int_{x}^{b} f^{n+1} (t)(x-t)_{+}^ndt \\
&= \dfrac{f^{n+1}(\eta)}{n!} \int_{a}^{x}(x-t)^n dt \\
&= \dfrac{f^{n+1}(\eta)}{n!} \Big[\dfrac{-(x-t)^{n+1}}{n+1} \Big]_{a}^x = \dfrac{f^{n+1}(\eta)}{(n+1)!} (x-a)^{n+1} , a<\eta <x
\end{align*}
\end{document}
خروجی:

موفقتر باشین.