سلام
برای آشنایی بیشتر با محیطهای ریاضی، راهنمای بستهٔ amsmath رو ببینین حتماً. برای بازکردن راهنمای هر بسته، کافیه در Command Prompt و یا Terminal دستور زیر رو با نام بسته بزنین:
texdoc amsmath
\documentclass[12pt]{article}
\usepackage{amsmath}
\begin{document}
\begin{align*}
\begin{aligned}
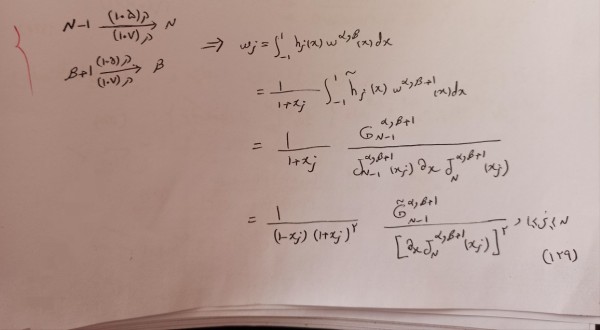
& N - 1 \xrightarrow[\text{down}]{\text{up}} N\\
& \beta + 1 \xrightarrow[\text{down}]{\text{up}} \beta
\end{aligned}
\quad\Rightarrow
w_j & = x \\
& = y \\
& = z \\
& = w
\end{align*}
\begin{align*}
\left\{\mspace{-6mu}
\begin{array}{l} % or c or r
N - 1 \xrightarrow[\text{down}]{\text{up}} N\\
\beta + 1 \xrightarrow[\text{down}]{\text{up}} \beta
\end{array}\right.
\Rightarrow
w_j & = x \\
& = y \\
& = z \\
& = w
\end{align*}
\end{document}
